The Strengths and Limitations of Time-Varying Covariate Growth Models
Growth models have long been a workhorse of longitudinal data analysis. Whether we are studying reading development across elementary school, depressive symptoms across adulthood, or political attitudes across election cycles, the core underlying idea is the same: people can change systematically over time, yet they do not all change to the same degree. Despite the tremendous insights offered by growth models, they have a key limitation: they distill variability in within-person (intra-individual) change into coefficients that vary between people (inter-individual differences). That is, some people start higher or lower, and some people increase more or less steeply, but these trajectories are characteristics of the individual: thus, Patrick is six feet tall, weighs 180 pounds, was born in Colorado, and he has an intercept of .5 and a slope of .2. These are all characteristics of Patrick, but none are linked to a specific point in time. We can predict why different people have different intercepts and slopes, but these are all between-person effects. Often, we are also interested in within-person effects: why Patrick was happier today than yesterday, or drank more this year than last.
For decades, we have been able to expand growth models to include time-specific (and even lagged) effects for predictors that themselves change over time, often called time-varying covariates (or TVCs). TVC models allow us to transition to testing within-person hypotheses because the model does not just ask whether people change but whether within-person fluctuations in predictors are related to within-person deviations in the outcome. This is our focus here.
A Brief Review of Growth Modeling
Growth modeling is a massive topic that cannot be fully covered here. However, we have prior blog posts, a free online lecture series on different approaches to growth modeling, and we offer several full-length workshops on growth modeling using multilevel models (MLMs), structural equations models (SEMs), and models for intensive longitudinal data (ILD).
Briefly, the core motivating goal of growth modeling, whether estimated using the MLM or the SEM, is to summarize a set of repeated measures with a smoothed underlying trajectory that parsimoniously represents how the outcome changes over time. Individual trajectories can obtain a variety of functional forms (e.g., linear, quadratic, piecewise, exponential, etc.) or even display no systematic change over time (and thus necessitate only an intercept term).
A key outcome of the model is the estimation of the means (sometimes called fixed effects) and the variances (sometimes call random effects) of each defined growth component. For example, say we fit a linear trajectory to six repeated measures of aggressive behavior in children. We could obtain a mean starting point and rate of change reflecting the average trajectory for the full sample, and a variance in starting point and rate of change (and covariance between the two) reflecting child-to-child variability in the trajectory parameters. This model may be of theoretical interest on its own, but we often expand this model to include one or more covariates of theoretical interest. There are two types of covariates that are commonly considered.
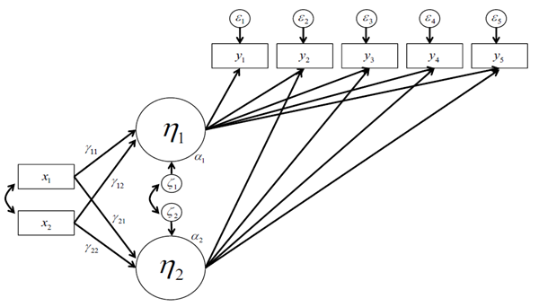
Time-invariant vs. Time-varying Covariates
Time-invariant covariates (TICs) are assumed to have a constant value across measurement occasions. Examples include sex assigned at birth, baseline SES, treatment condition, or childhood adversity at the start of kindergarten. In growth models, TICs typically predict differences in trajectory parameters and assess questions such as does baseline SES predict the intercept (i.e., starting point) or does treatment condition predict the slope (i.e., rate of change)? An example finding might indicate that there are no treatment group differences in depression at baseline but that, on average, those who received treatment reported a significant decrement in depressive symptomatology over time compared to those who did not. An exemplar path diagram of a latent curve model with two TICs (x1 and x2) predicting trajectory intercepts and slopes (η1 and η2) for five repeated measures (y1–y5) is:

In contrast, time-varying covariates (TVCs) have the potential to differ in value at each measurement occasion. This is a critical distinction from TICs. Whereas baseline SES is by definition invariant to the passage of time, other constructs, such as daily stress, nightly sleep, current caregiver status, or weekly anxiety, change from one time point to the next. Whereas TICs predict the growth factors themselves (e.g., we regress the intercept and slope trajectory components on treatment group membership), TVCs directly predict the time-specific repeated assessments above-and-beyond the underlying growth process. Although a seemingly modest change to the structure of the model, this actually has profound implications for the types of questions we can ask, particularly those focused on within-person process. An exemplar path diagram of a latent curve model with a TVC (z1–z5 measured at time 1 to 5) is:

Note that TVCs can have both within- and between-person effects. For example, suppose we wish to evaluate the relation between substance use and anxiety over a set of repeated measures. The between-person effect would reflect average differences between people: Do people who report higher average levels of anxiety over time also report higher average levels of substance use over time? This contrasts from the within-person effect: When a person is more anxious than usual at a given time point do they tend to engage in more substance use than they typically do? Often with TVCs we are particularly interested in modeling these within-person processes, which can be extended to examine lead-lag relations, and dynamic systems in ways not possible with a standard TIC model.
In the spirit that you don’t get something for nothing, inclusion of TVCs introduces natural complexities that must be addressed, particularly in the management of the data, specification of the model, and substantive interpretation of the findings. However, these issues are all well understood and one needs to simply turn to existing resources that illustrate best practices.
Incorporating TVCs into Growth Models
One point of common confusion is how within- and between-person effects of TVCs are estimated and interpreted within the SEM versus MLM frameworks. Within the SEM growth model, the TVCs are incorporated in their raw metric as exogenous predictors of the repeated measures. Because the TVCs freely covary with the latent growth factors (or at least should; be sure your software package is estimating these relations), the resulting regression parameters represent pure estimates of within-person effects. The standard SEM specification does not provide pure estimates of between-person effects of TVCs; however, these can be obtained by expanding the model in particular ways (see Curran et al., 2012, for details).
In contrast, if the TVCs are incorporated into the MLM in their raw metric, the resulting regression coefficients inextricably combine the within-person and between-person effects (see Raudenbush & Bryk, 2002, for details). A well-known solution to this problem is to person-mean center, that is subtract the person mean of the TVC from each observed value of the TVC, and then use the person-mean-centered TVC as the predictor at Level 1; this captures the same pure within-person effect estimate as the SEM. However, the person mean of the TVC itself can also be incorporated as an additional predictor at Level 2 of the model to capture the between-effect.
Thus, under a broad set of conditions, the MLM and SEM will provide precisely the same (or nearly the same) estimates of the within and between effects of TVCs, even though this is accomplished in quite different ways.
Limitations
Both the SEM and MLM approaches to modeling TVCs include a number of assumptions, but two are of most interest here. First, using either of the methods described above, we make a fundamental assumption that although the distal outcome may be growing systematically over time, the TVC most decidedly is not. Think about this logically: we deviate the person mean from each measured TVC and the person mean is by definition constant over time. In other words, there is no growth trajectory for the TVC. Significant estimation and interpretation problems can be encountered if the TVC itself is growing over time and this is not adequately represented in the model (see Curran & Bauer, 2011, for detailed examples, and Wang & Maxwell, 2015, for exceptions). To be clear, methods exist for handling such conditions, but additional work is necessary to represent systematic co-occurring individual change in the model (Curran et al., 2014).
The second assumption relates to the strength of relation between the TVC and the outcome over time. Consider three possible scenarios: (1) the magnitude of the relation is equal at all time points; (2) the magnitude of the relation systematically increases or decreases with the passage of time; or (3) the magnitude of the relation obtains a unique value at every single time point. All three of these can be incorporated in both the SEM and the MLM, and formal tests are available to determine which condition best represents the sample data at hand. However, although these methods offer powerful tests of the nature of the relation between the TVC and the outcome, there is a well-developed yet little used method that provides more flexible insight into these over-time relations, and this is called the time-varying effects model, or TVEM.
Time-Varying Effects Models
Time-varying effects models offer a semi-parametric approach to the more traditional TVC model within the MLM framework. Whereas the MLM provides formal tests of structured relations between the TVC and the outcome (e.g., a bilinear “product” interaction between the TVC and time), the TVEM uses a spline method of estimation to approximate complex nonlinear relations that might wax and wane in magnitude over time. Confidence regions can then be plotted to show “sensitive periods” during which a TVC is significantly related to the outcome versus periods when it is not. These relations are primarily graphical in nature and lovely plots can be created that demonstrate the potentially complex nature of the relation between the TVC and the outcome as a function of time. The TVEM offers many advantages when trying to understand complex relations over time, yet these methods remain quite underutilized in practice. See Lanza and Linden-Carmichael (2021) for a thorough introduction to the estimation and interpretation of TVEMs within the social sciences.
Conclusion
In sum, time-varying covariate growth models allow for the introduction of powerful tests of within-person dynamics over time that are not present in a more standard TIC. These methods are well developed and widely used and can easily be incorporated in your own data applications. A variety of resources exist, and we cite several of these below. CenterStat also offers full workshops that provide detailed instruction on TVC models, including Multilevel Models for Longitudinal Data, Longitudinal Structural Equation Modeling, and Analysis of Intensive Longitudinal Data. Including TVCs in your models requires care but can also yield important new insights.
Suggested Readings
Curran, P. J., & Bauer, D. J. (2011). The disaggregation of within-person and between-person effects in longitudinal models of change. Annual Review of Psychology, 62, 583-619.
Curran, P. J., Howard, A. L., Bainter, S. A., Lane, S. T., & McGinley, J. S. (2014). The separation of between-person and within-person components of individual change over time: a latent curve model with structured residuals. Journal of consulting and clinical psychology, 82(5), 879.
Curran, P.J., Lee, T.H., Howard, A.H., Lane, S.T., & MacCallum, R.C. (2012). Disaggregating within-person and between-person effects in multilevel and structural equation growth models. In: Hancock, G., editor. Advances in longitudinal methods in the social and behavioral sciences. Charlotte, NC: Information Age; p. 217-253.
Hamaker, E. L., Kuiper, R. M., & Grasman, R. P. (2015). A critique of the cross-lagged panel model. Psychological Methods, 20(1), 102.
Lanza, S. T., & Linden-Carmichael, A. N. (2021). Time-varying effect modeling for the behavioral, social, and health sciences. Springer.
Raudenbush, S.W. & Bryk, A.S. (2002). Hierarchical linear models: Applications and data analysis methods. Advanced Quantitative Techniques in the Social Sciences Series/SAGE.
Shiyko, M.P., Burkhalter, J., Li, R., & Park, B. J. (2014). Modeling nonlinear time-dependent treatment effects: an application of the generalized time-varying effect model (TVEM). Journal of Consulting and Clinical Psychology, 82, 760.
Wang L.P. & Maxwell S.E. (2015). On disaggregating between-person and within-person effects with longitudinal data using multilevel models. Psychological Methods, 20, 63-83.
